Python 多重继承
在本教程中,您将学习 Python 中的多重继承以及如何在程序中使用它。 您还将了解多级继承和方法解析顺序。
Python 多重继承
类可以从 Python 中的多个基类派生,类似于 C++ 。 这称为多重继承。
在多重继承中,所有基类的功能都继承到派生类中。 多重继承的语法类似于单一继承。
示例
class Base1: pass class Base2: pass class MultiDerived(Base1, Base2): pass
在此,MultiDerived类是从Base1和Base2类派生的。

Python 中的多重继承
MultiDerived类继承自Base1和Base2类。
Python 多级继承
我们还可以从派生类继承。 这称为多级继承。 在 Python 中可以是任何深度。
在多级继承中,基类和派生类的功能都被继承到新的派生类中。
下面给出了具有相应可视化效果的示例。
class Base: pass class Derived1(Base): pass class Derived2(Derived1): pass
这里,Derived1类是从Base类派生的,Derived2类是从Derived1类派生的。

Python 中的多级继承
Python 中的方法解析顺序
Python 中的每个类均源自object类。 它是 Python 中最基本的类型。
因此,从技术上讲,所有其他内置或用户定义的类都是派生类,并且所有对象都是object类的实例。
# Output: True print(issubclass(list,object)) # Output: True print(isinstance(5.5,object)) # Output: True print(isinstance("Hello",object))
在多继承方案中,将在当前类中首先搜索任何指定的属性。 如果未找到,则搜索将以深度优先,从左到右的方式继续进入父类,而无需两次搜索相同的类。
因此,在上述MultiDerived类的示例中,搜索顺序为MultiDerived,Base1,Base2,object。 该顺序也称为MultiDerived类的线性化,用于查找该顺序的规则集称为方法解析顺序(MRO)。
MRO 必须防止本地优先级排序,并且还必须提供单调性。 它确保类始终出现在其类之前。 如果有多个父级,顺序与基类的元组相同。
类别的 MRO 可以视为__mro__属性或mro()方法。 前者返回一个元组,而后者返回一个列表。
>>> MultiDerived.__mro__ (<class '__main__.MultiDerived'>, <class '__main__.Base1'>, <class '__main__.Base2'>, <class 'object'>) >>> MultiDerived.mro() [<class '__main__.MultiDerived'>, <class '__main__.Base1'>, <class '__main__.Base2'>, <class 'object'>]
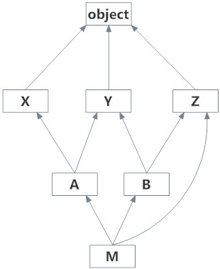
这是一个稍微复杂的多重继承示例及其可视化以及 MRO。

在 Python 中可视化多重继承
# Demonstration of MRO class X: pass class Y: pass class Z: pass class A(X, Y): pass class B(Y, Z): pass class M(B, A, Z): pass # Output: # [<class '__main__.M'>, <class '__main__.B'>, # <class '__main__.A'>, <class '__main__.X'>, # <class '__main__.Y'>, <class '__main__.Z'>, # <class 'object'>] print(M.mro())
输出:
[<class '__main__.M'>, <class '__main__.B'>, <class '__main__.A'>, <class '__main__.X'>, <class '__main__.Y'>, <class '__main__.Z'>, <class 'object'>]
要了解有关如何计算 MRO 的实际算法,请访问关于 MRO 的讨论。